library(tidyverse)
data("CPSSW04", package = "AER")
lm(earnings ~ age, CPSSW04)
Call:
lm(formula = earnings ~ age, data = CPSSW04)
Coefficients:
(Intercept) age
3.3242 0.4519
平均値やOLSの結果は、計算に用いるデータによって異なります。 例えば、1947年に実施された第1回目の労働力調査と2025年に行われた調査では、平均賃金が大きく異なるでしょう。 これは1947年と2025年では、社会状況が大きく異なるので、当然の結果と考えられます。
では全く同じ社会を対象とした調査を、複数の研究チームが行った場合に、同じ平均賃金が算出されるでしょうか? もし同じ結果が得られないのでは、分析結果には、「客観性がなく信用できない」とも考えられます。 このような場合、分析結果をどのように受け取れば良いでしょうか?
以上の問題は、推定問題と呼ばれ、データ分析における中心的な課題の一つです。
推定対象と推定結果を明確に区別する
推定対象を推論するツール、信頼区間を理解する
推定問題を考える土台となる枠組みとしては、頻度論とベイズ論が有名です。 本ページでは、頻度論に基づく議論を紹介します。
まずは、以下の思考実験を考えてください。
日本全国に、「2025年の日本の労働市場」を分析する研究チームが、大量に組織されました。各チームは同じ手順に基づき、平均賃金を計算します。ただしデータの収集は、各チームが独立して行います。
果たして、各チームは同じ結論にたどり着くでしょうか?
もし全てのチームが同じデータと同じコードを使えば、コーディング・ミスなどがない限り同じ結果になるはずです。 ところが、各チームが電話・ネット調査などでそれぞれが独自にデータを集めた場合、調査対象の対象となった回答者の違いから、得られるデータが異なり、結果も変わる可能性があります。
この思考実験の結果を順序立てて想像するために、いくつかの理論的な概念を導入します。
次の2つを区別することが重要です:
推定結果(estimate):データから実際に計算される値
推定目標(parameter of interest/estimand):推定の対象となる“真の値”
たとえば、CPSSW04データから計算される平均所得は、あくまで「推定結果」であり、「全米の平均所得」という推定目標に近づくことを期待して計算されます。
推定結果と推定目標の関係性を明確にするために、母集団とサンプルングという概念を導入します。
母集団 (Population) とは、推定の対象となる集団のことです。 Important 3.1 における母集団は「2025年の労働者」、CPSSW04では、「2004年のアメリカの全世帯」が妥当な母集団でしょう。
母分布は、母集団における変数の分布です。 本ページでは、データに含まれる変数について、母集団全員を調査し、計算された分布であるとイメージしてください。
例えばCPSSW04の母集団である2004年のアメリカの全世帯が観察できれば、同年の 特定の \([\) 収入、学位、性別、年齢 \(]\) が、全人口に占める割合が計算できるはずです。
以下では、「分析者は母集団を直接観察できず、母分布を実際に計算することは不可能である」、という状況を想定します。 そして、直接知ることができない母分布やその特徴を、データから推定することを試みます。
本ページでは、母分布そのものではなく、母分布の特徴を推定する方法を紹介します。 推定の対象となる母分布の特徴を、推定目標と呼びます。 代表的なものとしては、母分布から計算された平均値およびOLSの結果があります。
データにおける分布と同様に、母分布からも平均値や条件付き平均値を計算できます。 このような母集団における平均値を、母平均と呼びます。
例えば、母集団における25才の平均所得は以下のように計算できます。
\[ 25才の条件付き母平均 \] \[ = 1\times 25才における「earningsが1」の条件付き母分布 \] \[ + 2\times 25才における「earningsが2」の条件付き母分布 \] \[ +... \]
本スライドでは、母分布から計算されるOLSの結果を推定目標とします。 このような推定目標を母集団におけるOLS推定値(Population OLS)と呼びます。
例えば、賃金と年齢の関係性を捉えるために、以下の母集団における平均二乗誤差を最小化する線型モデル (\(\beta_0 + \beta_1\times age\)) をPopulation OLSとして定義できます
\[ (25才の母平均 - (\beta_0+\beta_1\times 25))^2\times 25才の母分布 \] \[ + (26才の母平均 - (\beta_0+\beta_1\times 26))^2\times 26才の母分布 \] \[ +... \]
これらはすべて、実際には観察できない仮想的な計算結果です。 この結果をデータから推定することを目指します。
データは、何らかの方法で選ばれた事例の集まりであると想定します。 この事例を選ぶ過程を、サンプルング (sampling) と呼びます。
母集団について推測するためには、データと母集団の関係について何らかの仮定を置く必要があります。 特に、母集団の事例をどれだけ偏りなくサンプリングできているのかは、分析の信頼性に大きく影響します。
最も重要な仮定は、ランダムサンプリングです。
本ページでは、分析に用いるデータはランダムサンプルングを満たすことを想定します。
推定結果(estimate)とは、データから計算される値のことです。 この推定結果は、推定対象(母集団上での真の値)に近い値であることが期待されます。
推定結果を計算する手順のことを、推定方法(estimator)と呼びます。
本節で登場した重要な概念と仮定を整理すると、次のようになります。
母集団: 推定対象となる集団
サンプルング: 母集団から事例を収集する手順
データ: サンプリングされた事例の集団
推定結果: データから計算される結果 (推定対象に近い値であることが期待される)
推定方法: データから推定結果を計算する具体的な計算方法
これらの関係は、以下の図にまとめられます:
図中の実線は、データの分析者が実際に観察・操作できる要素を、点線は想像上の操作や概念を表しています。 例えば、母集団から推定対象を計算する作業を、分析者が実際に行うことはできません。 なぜならば、母集団を直接観察することができないためです。
ここまでの枠組みを用いると、Important 3.1 の思考実験の結果は以下のように整理できます。
母平均やPopulation OLSは、以下の一般的な推定方法が利用できます1。
母集団上での仮想的な計算結果 として、推定対象を定義する
同じ計算をデータ上で行った結果を、推定結果とする
この推定方法は、以下の性質から正当化できます。
もしデータに代表性があり、かつ事例数が無限大であれば、データから算出したOLSの結果とPopulation OLSは一致する。
一致性からは、データが増えれば増えるほど、推定結果は推定目標に近づくことが期待できます。
ただし、この議論は「母集団において平均値やOLSの結果が計算できる」ということを、前提にしていることに注意してください。 例えば、母分布が「特殊な」場合、母平均が無限大になり、計算できない場合があります2。 またPopulation OLSについては、母集団において多重共線性 が存在する場合、計算は不可能です。 そのため、多重共線性のない定式化を用いて、Population OLS を定義する必要があります。
一致性は、推定方法 Important 3.3 を正当化する重要な性質です。 しかしながら、実際のデータ分析においては、それほど実用的な性質ではありません。 なぜならば、Population OLSとデータ上でのOLSが一致するためには、無限大の事例数 が必要となるからです。 いうまでもなく無限大の事例数を持つデータは存在しません。 言い換えると、実際のデータ分析では、推定結果と推定目標は”乖離している”と想定すべきです。
具体的な例から考えてみます。
Call:
lm(formula = earnings ~ age, data = CPSSW04)
Coefficients:
(Intercept) age
3.3242 0.4519
以上の結果は、データ上でのOLSでは、ageのパラメタは0.4519であることが確認できます。 一致性から、もしCPSSW04がランダムサンプルングの仮定を満たし、事例数が無限大であれば、「Population OLS におけるageのパラメタも0.4519である」という結論は必ず正しいものとなります。 ところが実際の事例数は、7986 であり、無限ではありません。 このため「Population OLS におけるageのパラメタも0.4519である」は、ほぼぼ間違った結論となります。
ここまでの議論から、Important 3.1 の思考実験の結果は以下のように整理できます。
各研究チームは、ランダムサンプリングにより、データを集めたとする
データの事例数が無限大あれば、データから得られるOLSの結果は、常にPopulation OLSと一致する
現実的な事例数のもとでは、データから得られるOLSの結果は、常にPopulation OLSから乖離
ほぼほぼ間違った結論ではなく、正しい結論を示すことは可能でしょうか? データ分析においては、確実に正しい結論を示すことは、事実上不可能です。 このため多くのデータ分析では、ほぼほぼ正しい結論を示すことを目指します。 このようなほぼほぼ正しい結論を示すプロセスは、統計的推論と呼ばれます。
統計的推論に活用できるツールは、さまざまなものがあります。 代表的なものとして、信頼区間を紹介します。
推定対象を一定の確率で含むと考えられる、データから計算される区間
Rにおいて、信頼区間を計算する方法は複数存在します。 例えばfixestパッケージのfeols関数を用いれば、以下の仮定のもとで、信頼区間を計算します。
データはランダムサンプルングされている
事例数は十分にある3
極端なハズレ値がない
例えば、以下のコードから、reformの平均値について95 \(\%\) 信頼区間を計算できます。
以上の結果から、「Population OLSにおけるageは、概ね (95 \(\%\)) \(0.387\sim 0.517\) である」という主張を行うことができます。
本ページでは信頼区間の詳細な導出方法の説明は省略します。 代わりに信頼区間の解釈を詳細に紹介します。
\(95\%\) 信頼区間を活用する際に問題となるのは、 \(95\%\) の意味を正しく捉えることです。 そこで本節では、信頼確率について、いくつかの異なる、ただしすべて正当な解釈を紹介します4。
まずは 思考実験 Important 3.1 と最も密接な解釈である「繰り返しサンプルング」です。
皆さんと他の研究チームは、同じ方法でデータを収集しますが、収集自体は独立して行い、データのシェア等も行いません。 このため、データの特徴は全てのチームで異なっており、計算される信頼区間も異なります。
これらの分析チームが各のデータから、95 \(\%\) 信頼区間を計算したとします。 もし信頼区間の仮定が全てのチームで満たされているならば、皆さんを含む大量のチームが計算した信頼区間のうち、95 \(\%\) は推定対象 (真の値)を含みます。
このような解釈は多くの教科書で紹介される標準的なものです。 しかしこの「繰り返しサンプルング」こそが、わかりにくいと指摘されてきた点です。 社会・市場分析において、「同じ母集団を対象に研究する大量の分析チーム」が存在した、現実の例を挙げることが困難なためです。
2つ目の解釈は「一人の研究者が長期間にわたって大量の研究を行う」という、より現実的な例え話を土台に、信頼区間を分析結果という”生産物”の品質管理として捉える解釈です。
これから皆さんは長期に渡って、さまざまな母集団 (社会) や研究目標について、多くのデータ分析を行なっていくとします。 これら全ての分析において、信頼区間の仮定が満たされていることを前提に、95 \(\%\) 信頼区間を計算したとします。 当然さまざまな信頼区間が計算されますが、今後皆さんが計算する大量の信頼区間のうち、95 \(\%\) は推定対象 (真の値)を含むことができます。
このような品質保証のような見方を、信頼区間の提唱者であるネイマンは帰納的行動(Inductive Behavior)と呼びました。
最後に信頼区間は、仮説検定というアプローチと密接な関係があります。 仮説検定の詳細な説明は補論で行いますが、以下のような「消去法」の結果として信頼区間は解釈できます。
今、ある推定対象 (例えば改装率)について、候補となる値がたくさん存在します。 この中から、明らかに推定対象ではないと値を除外していきます。 除外する方法は以下です。
仮にある値が推定対象の真の値 (例えば 1 \(\%\)) だと想定する
もしこの仮の値が、データ上での値とあまりにかけ離れている場合は、真の値の候補から除外する
全ての値について、1、2を繰り返し、除外されなかった値を信頼区間とする
つまりデータと矛盾しない値の集合を信頼区間とします。
検定の反転を実際に行うためには、統計的検定の知識が必要です。 本ページでは紹介しませんが、標準的な統計学・計量経済学の入門書では必ず紹介されています。
これらの解釈は、数学的には実は全て同じものであり、解釈のストーリーが違うだけです。 皆さん自身が一番しっくりくるものをとりあえずは選んで問題ありません
モデルが複雑すぎると、推定において深刻な問題が生じることがあります。 複雑なモデルのパラメータを高い精度で推定するためには、十分な数の観測事例が必要になるためです。 このためデータ数が限られている場合、複雑なモデルを推定すると、推定精度が大幅に低下し、ミスリードな推定結果を導くおそれがあります。
ここでは、単純な数値例を用いてこの問題を確認してみます。
以下のような複雑な条件付き母平均を想定します5。
\[ E[Y\mid X] = X + 0.1\times X^2 + 2\times X^3 + 0.01\times X^4 + 5 \times x^5 \] \[ 0.1 \times x^6 + 3 \times x^7 + 0.1 \times x^8 + 0.1 \times x^9 + 0.1 \times x^{10} \tag{3.1}\]
条件付き母平均とこの想定に基づいてランダム・サンプルングされた50事例のデータを図示すると、以下のようになります。

赤線が条件付き母平均、黒点がデータを表します。
まずは、単純な線型モデル \((\beta_0 + \beta_1\times X)\) を推定してみます。
この推定結果と条件付き母平均を比較すると、以下のようになります。

この図からわかるように、単純なモデルでは複雑な母平均を捉えることができず、推定結果と母平均に乖離が生じています。
次に、Equation 3.1 のような複雑な条件付き母平均を想定し、以下のような複雑なモデルを推定してみます。
この推定結果と条件付き母平均を比較すると、以下のようになります。

複雑なモデルの方が、条件付き母平均に近づくように思えるかもしれませんが、実際には母平均との乖離がむしろ拡大していることがわかります。 これは、少ないデータ(50事例)で複雑なモデルを推定したため、パラメータの推定精度が著しく低下したことを示しています。
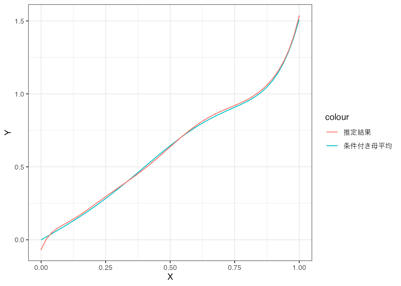
では、同じ複雑なモデルを、十分なデータ(5万事例)で推定した場合はどうなるでしょうか。

この場合、推定結果は条件付き母平均とほぼ一致しており、十分なデータがあれば、複雑なモデルでもOLSによって高精度な推定が可能であることが確認できます。
この数値例からわかるように、複雑なモデルを用いる際には、十分なデータがあるかどうかを慎重に検討する必要があります。